Multiple Choice Identify the
choice that best completes the statement or answers the question.
|
|
|
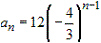
1.
|
Select the first five terms of the sequence.
(Assume that n begins with 1.)

|
|
|
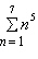
2.
|
Find the sum.

a. | 150 | b. | 300 | c. | 210 | d. | 270 | e. | 330 |
|
|
|
3.
|
Write the first five terms of the sequence.
Determine whether the sequence is arithmetic. If so, find the common difference. (Assume that
n begins with 1.)

|
|
|
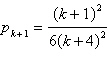
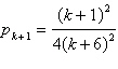
4.
|
Write the first five terms of the arithmetic
sequence defined recursively.

|
|
|
5.
|
The first two terms of the arithmetic sequence are
given. Find the missing term.

|
|
|
6.
|
Write the nth term of the arithmetic
sequence as a function of n.

|
|
|
7.
|
Find the sum of the infinite geometric
series.

|
|
|
8.
|
Match the geometric sequence with its graph from
the choices below.

|
|
|
9.
|
|
|
|
10.
|
Find the sum using the formulas for the sums of
powers of integers.

|
|
|
11.
|
Find the sum using the formulas for the sums of
powers of integers.

|
|
|
12.
|
Evaluate using Pascal's triangle.

|
|
|
13.
|
In how many ways can an eight-question true-false
exam be answered? (Assume that no questions are omitted.)
a. | 266 | b. | 256 | c. | 261 | d. | 246 | e. | 251 |
|
|
|
14.
|
Evaluate .

a. | 138,556,440 | b. | 1,294,920 | c. | 122,391,522 | d. | 14,686,982,640 | e. | 1,542,133,177,200 |
|
|
|
15.
|
Five sprinters have qualified for the finals in the
100-meter dash at the NCAA national track meet. In how many ways can the sprinters come in first,
second, and third? (Assume there are no ties.)
|
|
|
16.
|
Evaluate using the formula from this
section.

|
|
|
17.
|
Find the number of distinguishable permutations of
the group of letters.

|
|
|
18.
|
Find the probability for the experiment of tossing
a coin times. Use the sample space

The probability of getting at least two heads.
|
|
|
19.
|
The educational attainment of a country population
age 25 years or older in 2007 is shown in the circle graph. Use the fact that the population of
people 25 years or older was approximately 9.6 million in 2007 and let , , , and . Find the
probability that a person 25 years or older selected at random has earned a Bachelor’s degree
or higher.

a. | 3.269 | b. | 2.269 | c. | 4.269 | d. | 0.269 | e. | 1.269 |
|
|
|
20.
|
You are given the probability that an event will
not happen. Find the probability that the event will happen.

|