Multiple Choice Identify the
choice that best completes the statement or answers the question.
|
|
|
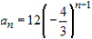
1.
|
Select the first five terms of the sequence.
(Assume that n begins with 1.)

|
|
|
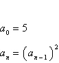
2.
|
Select the first five terms of the sequence defined
recursively. Use the pattern to write the nth term of the sequence as a function of n.
(Assume that n begins with 1.)

|
|
|
3.
|
Find the sum.

|
|
|
4.
|
Determine whether the sequence is arithmetic. If
so, find the common difference.

a. | Arithmetic sequence,  | b. | Arithmetic
sequence,  | c. | Arithmetic sequence,  | d. | Arithmetic sequence,  | e. | Not an arithmetic sequence |
|
|
|
5.
|
Determine whether the sequence is arithmetic. If
so, find the common difference.

a. | Arithmetic sequence,  | b. | Arithmetic
sequence,  | c. | Arithmetic sequence,  | d. | Arithmetic sequence,  | e. | Not an arithmetic sequence |
|
|
|
6.
|
Determine whether the sequence is arithmetic. If
so, find the common difference. –1, –6, –11,
–16, –21
a. | 5 | b. | 4 | c. | –5 | d. | not
arithmetic | e. | –1 |
|
|
|
7.
|
Find the partial sum.

a. | –32,886 | b. | –35,230 | c. | –32,375 | d. | –32,630 | e. | –32,625 |
|
|
|
8.
|
Find the indicated nth term of the geometric
sequence.
10th term : 
|
|
|
9.
|
Match the geometric sequence with its graph from
the choices below.

|
|
|
10.
|
Write the first six terms of the sequence beginning
with the given term. Then calculate the first and second differences of the sequence. State whether
the sequence has a linear model, a quadratic model, or neither.

a. |  First differences: ,  Second differences: ,  Linear | b. |  First differences: ,  Second differences: ,  Quadratic | c. |  First differences: ,  Second differences: ,  Neither | d. |  First differences: ,  Second differences: ,  Neither | e. |  First differences: ,  Second differences: ,  Quadratic |
|
|
|
11.
|
Write the first six terms of the sequence beginning
with the given term. Then calculate the first and second differences of the sequence. State whether
the sequence has a linear model, a quadratic model, or neither.

|
|
|
12.
|
Find a formula for the sum of the n terms of
the sequence.

|
|
|
13.
|
Find the sum using the formulas for the sums of
powers of integers.

a. | –675 | b. | –935 | c. | 55 | d. | –260 | e. | –2805 |
|
|
|
14.
|
Calculate the binomial coefficient.

a. | 331 | b. | 328 | c. | 333 | d. | 332 | e. | 330 |
|
|
|
15.
|
Use the Binomial Theorem to expand and simplify the
expression.

|
|
|
16.
|
Use the Binomial Theorem to expand and simplify the
expression.

|
|
|
17.
|
Find the specified nth term in the expansion
of the binomial. (Write the expansion in descending powers of x.)

|
|
|
18.
|
Solve for n.

|
|
|
19.
|
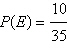
You are given the probability that an event will
happen. Find the probability that the event will not happen.

|
|
|
20.
|
The figure shows the results of a survey in which
auto racing fans listed their favorite type of racing. What is the probability that an auto racing
fan selected at random lists NASCAR racing as his or her favorite type of racing? 

|