Multiple Choice Identify the
choice that best completes the statement or answers the question.
|
|
|
1.
|
Find the slope of the line passing through the
given pair of points.
(0, 5), (6, 0)
|
|
|
2.
|
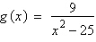
Use the intercept form to find the equation
of the line with the given intercepts. The intercept form of the equation of a line with intercepts
and
is

x-intercept:  y-intercept: 
|
|
|
3.
|
A sub shop purchases a used pizza oven for $895.
After 5 years, the oven will have to be replaced. Select the linear equation giving the value V
of the equipment during the 5 years it will be in use.
|
|
|
4.
|
Find all real values of x such that .

a. | x =  | b. | x =  | c. | x =  | d. | x =  | e. | x =  |
|
|
|
5.
|
Find the domain of the function.

a. | Non-negative real numbers
x | b. | All real numbers x | c. | All real numbers x such that  | d. | Non-negative real numbers x except  | e. | All real numbers
x such that  |
|
|
|
6.
|
Assume that the domain of f is the set . Determine the set of ordered pairs that represents the function f.

|
|
|
7.
|
Evaluate the function at the specified value of the
independent variable and simplify.


|
|
|
8.
|
Find the zeros of the function
algebraically.

|
|
|
9.
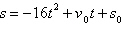
|
An object is thrown upward from ground level at a
velocity of 50 feet per second. Use the position equation to select a
function that represents the situation and select the graph of the function.
|
|
|
10.
|
Select the linear function such that it has the
indicated function values.

|
|
|
11.
|
A mechanic is paid $ .00 per hour
for regular time and time-and-a-half for overtime. The weekly wage function is given
by

where is the
number of hours worked in a week.
Evaluate .
|
|
|
12.
|
For following function, select (on the same set of
coordinate axes) a graph for  . 
|
|
|
13.
|
Use the given graph of f to select the graph
for the following function.


|
|
|
14.
|
The parent function is related
to . Use function notation to select in terms of .

|
|
|
15.
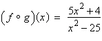
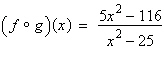
|
Find and the domain of the
composite function.
, 
a. |  Domain of
fog: all real numbers x | b. |  Domain of fog: all
real numbers x | c. |  Domain of fog: all real numbers
x | d. |  Domain of
fog: all real numbers x | e. |  Domain of fog: all
real numbers x |
|
|
|
16.
|
The number of people playing tennis T (in millions)
in the United States from 2000 through 2007 can be approximated by the function

and the U.S. population P (in millions) from 2000 through 2007 can be
approximated by the function where t represents the year,
with corresponding to 2000. Evaluate the
function for t = 0 and 3.
|
|
|
17.
|
|
|
|
18.
|
Select the correct graph, showing f and
g are inverse functions.

|
|
|
19.
|
Select the graph of and on the same set of coordinate axes.

|
|
|
20.
|
Use the graph of the function f to create a
table of values for the given points. Then create a second table that can be used to find .

|