Multiple Choice Identify the
choice that best completes the statement or answers the question.
|
|
|
1.
|
Find the slope and y-intercept (if possible)
of the equation of the line. Select the correct answer for the line.

|
|
|
2.
|
Find the slope of the line passing through the
given pair of points.
(0, 5), (6, 0)
|
|
|
3.
|
Find the slope-intercept form of the equation of
the line that passes through the given point and has the indicated slope m. Select correct
answer for the line.
(2.2, –8.6 ), 
|
|
|
4.
|
Use the intercept form to find the equation
of the line with the given intercepts. The intercept form of the equation of a line with intercepts
and is

Point on line:  x-intercept: (c,
0) y-intercept: (0, c), 
|
|
|
5.
|
Estimate the slope of the line.

|
|
|
6.
|
A microchip manufacturer pays its assembly line
workers $15.25 per hour. In addition, workers receive a piecework rate of $0.45 per unit produced.
Select a linear equation for the hourly wage W in terms of the number of units x
produced per hour.
|
|
|
7.
|
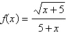
Evaluate if .
|
|
|
8.
|
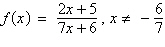
Find the domain of the function.

a. | Non-negative real numbers
x | b. | All real numbers x | c. | All real numbers x such that  | d. | Non-negative real numbers x except  | e. | All real numbers
x such that  |
|
|
|
9.
|
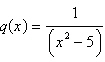
Find all real values of x such that f
(x) = 0.

|
|
|
10.
|
Select the graph of the given function and
determine the interval(s) for which .

|
|
|
11.
|
Select the correct graph of the given
function.

|
|
|
12.
|
The cost of sending an overnight package from Los
Angeles to Miami is $ for a package weighing up to but not including
1 pound and $ for each additional pound or portion of
a pound. A model for the total cost (in dollars) of sending the package
is
    where, is the weight
in pounds.
Determine the cost of sending a package that weighs
pounds.
|
|
|
13.
|
For following function, select (on the same set of
coordinate axes) a graph for  . 
|
|
|
14.
|
Use the graph of to write an
equation for the function whose graph is shown.

|
|
|
15.
|
Select the graph of .

|
|
|
16.
|
Use the viewing window shown to select a possible
equation for the transformation of the parent function.

|
|
|
17.
|
The spread of a contaminant is increasing in a
circular pattern on the surface of a lake. The radius of the contaminant can be modeled by , where r is the radius in meters and t is the time in hours since
contamination.
Find a function that gives the area A of the circular lake in terms of
the time since the spread began.
|
|
|
18.
|
Use the tables of values for
to complete a table for .
|
|
|
19.
|
Select the graph of the function, and use the
Horizontal Line Test to determine whether the function is one-to-one and so has an inverse
function.

a. |
 The function does not
have inverse. | d. |
 The function does not
have inverse. | b. |
 The function does not have inverse. | e. |
 The function does not have inverse. | c. |
 The function does not have
inverse. |
|
|
|
20.
|
Find the inverse function of
f.

|