Multiple Choice Identify the
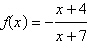
choice that best completes the statement or answers the question.
|
|
|
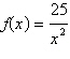
1.
|
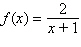
Find the domain of the function and identify any
vertical and horizontal asymptotes.

|
|
|
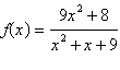
2.
|
Find the domain of the function and identify any
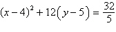
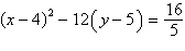
vertical and horizontal asymptotes.

|
|
|
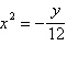
3.
|
Select the graph of the rational function .
|
|
|
4.
|
Find the zeros (if any) of the rational function.

|
|
|
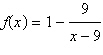
5.
|
Simplify and find any vertical
asymptotes of .

a. | ; Vertical asymptote:
none | b. | ; Vertical asymptote:  | c. | ;
Vertical asymptote: none | d. | ;
Vertical asymptote:  | e. | ; Vertical asymptote:
none |
|
|
|
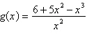
6.
|
The cost (in millions of dollars) of
removing of the industrial and municipal
pollutants discharged into a river is given by
.
Select the correct
graph of the cost function.
|
|
|
7.
|
The game commission introduces 100 deer into newly
acquired state game lands. The population of the herd is modeled
by

where is the time
in years. Find the populations when . (Round your answer to the nearest whole
number.)
a. |
deer | b. |
deer | c. |
deer | d. |
deer | e. |
deer |
|
|
|
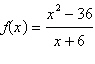
8.
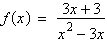
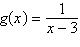
|
Determine the zeros (if any) of the rational
function .
|
|
|
9.
|
Give the domain of the function and identify any
asymptotes.

|
|
|
10.
|
Use the graph of to select
the graph of .

|
|
|
11.
|
Which of the following is the graph of the given
equation?

|
|
|
12.
|
Determine the equations of any horizontal and
vertical asymptotes of .
|
|
|
13.
|
Find the standard form of the equation of the
parabola with the given characteristic(s) and vertex at the origin.
Focus: 
|
|
|
14.
|
Find the standard form of the equation of the
parabola with the given characteristic(s) and vertex at the origin.
Focus: 
|
|
|
15.
|
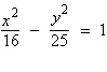
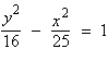
Find the center and vertices of the hyperbola and
sketch its graph, using asymptotes as sketching aids.

|
|
|
16.
|
Find the standard form of the equation of the
hyperbola with the given characteristics. foci: asymptotes: 
|
|
|
17.
|
Find the standard form of the equation of the
parabola with the given characteristics.
; 
|
|
|
18.
|
Identify the center and radius of the
circle.

a. | center: (–6,
0) radius: 7 | b. | center: (0, –6)
radius: 49 | c. | center: (0,
6) radius: 49 | d. | center: (0, –6)
radius: 7 | e. | center: (6,
0) radius:
7 |
|
|
|
19.
|
Find the vertex and focus of the parabola.

|
|
|
20.
|
Identify the conic by writing the equation in
standard form.

a. | ;
hyperbola | b. | ;
hyperbola | c. | ;
parabola | d. | ;
circle | e. | ;
parabola |
|