Multiple Choice Identify the
choice that best completes the statement or answers the question.
|
|
|
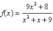
1.
|
Find the domain of the function and identify any
vertical and horizontal asymptotes.

|
|
|
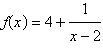
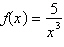
2.
|
Determine the value that the function f
approaches as the magnitude of x increases.

|
|
|
3.
|
Use the below graph to determine any
x-intercepts of the graph of the rational function. Set and solve the
resulting equation to confirm x-intercepts of the graph of the rational function.


|
|
|
4.
|
Use the graph of to select the
graph of .

|
|
|
5.
|
The graph of the function
 is shown below. Determine the vertical and horizontal asymptotes of its
graph.

|
|
|
6.
|
Determine the domain of .
a. | all real numbers except  | b. | all real
numbers | c. | all real numbers except  | d. | all real numbers
except  | e. | all real numbers except  |
|
|
|
7.
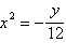
|
Find the vertex and focus of the parabola for the
given equation and select its graph.

|
|
|
8.
|
Find the standard form of the equation of the
parabola with the given characteristic(s) and vertex at the origin.
Focus: 
|
|
|
9.
|
Select the standard form of the equation of the
parabola and determine the coordinates of the focus.

|
|
|
10.
|
Find the standard form of the equation of the
ellipse with the given characteristics and center at the origin.
Vertices: ;
foci: 
|
|
|
11.
|
Find the standard form of the equation of the
hyperbola with the given characteristics and center at the origin.
Vertices: ;
foci: 
|
|
|
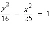
12.
|
Identify the conic.

a. | Circle | b. | Ellipse | c. | Parabola | d. | Hyperbola | e. | Line |
|
|
|
13.
|
Find the standard form of the equation of the
hyperbola with the given characteristics and center at the origin.
vertices: ;
foci: 
|
|
|
14.
|
Match the equation with its graph.

|
|
|
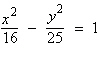
15.
|
Find the vertices and asymptotes of the
hyperbola.

|
|
|
16.
|
Find the standard form of the equation of the
hyperbola with the given characteristics. foci: asymptotes: 
|
|
|
17.
|
Sketch the graph of the ellipse, using the lateral
recta.

|
|
|
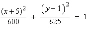
18.
|
Describe the translation of the graph of the given
conic from the standard position.


a. | Center: , horizontal shift four units
to the upward and vertical shift one unit left | b. | Center: , horizontal shift four units to the right and
vertical shift one unit upward | c. | Center: , horizontal shift four units to the left and vertical shift one unit
downward | d. | Center: , horizontal shift four units
to the right and vertical shift one unit upward | e. | Center: , horizontal shift four units to the left and vertical shift one unit
upward |
|
|
|
19.
|
Describe the translation of the graph of the given
conic from the standard position.


a. | Vertex: , horizontal shift five units
to the left and vertical shift one unit upward | b. | Vertex: , horizontal shift five units to the left and vertical shift one unit
upward | c. | Vertex: , horizontal shift five units
to the right and vertical shift one unit upward | d. | Vertex: , horizontal shift five units to the left and vertical shift one unit
downward | e. | Vertex: , horizontal shift five units
to the left and vertical shift one unit upward |
|
|
|
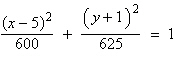
20.
|
Find the standard form of the equation of the
ellipse with the given characteristics. center: foci: 
|