|
|
|
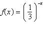
1.
|
Select the graph of the function. 
|
|
|
2.
|
Use a graphing utility to construct a table of values for the function. Round
your answer to two decimal places. 
|
|
|
3.
|
Sketch the graph of the function. 
|
|
|
4.
|
Write the exponential equation in logarithmic form. 
|
|
|
5.
|
Write the exponential equation in logarithmic form. 
|
|
|
6.
|
Use the One-to-One Property to solve the equation for x. 
|
|
|
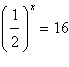
7.
|
Use the One-to-One Property to solve the equation for x. 
|
|
|
8.
|
Rewrite the logarithm as a ratio of natural logarithms. 
|
|
|
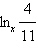
9.
|
Rewrite the logarithm as a ratio of natural logarithms. 
|
|
|
10.
|
Rewrite the logarithm as a ratio of common logarithms. 
|
|
|
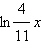
11.
|
Use the change-of-base formula to rewrite the logarithm as a ratio of
logarithms. Then use a graphing utility to graph the ratio. 
|
|
|
12.
|
Find the exact value of  without using a
calculator.
|
|
|
13.
|
Determine whether the given x-value is a solution (or an approximate
solution) of the equation.
|
|
|
14.
|
Determine whether the given x-value is a solution (or an approximate
solution) of the equation.
|
|
|
15.
|
Solve for  . 
a. | 2 | b. |  | c. | 6 | d. | 4 | e. |  |
|
|
|
16.
|
Solve for  . Approximate the result to three decimal
places.
|
|
|
17.
|
Solve the exponential equation algebraically. Approximate the result to three
decimal places. 
|
|
|
18.
|
$6500 is invested in an account at interest rate r, compounded
continuously. Find the time required for the amount to triple. (Approximate the result to two decimal
places.) 
a. | 15.50 yr | b. | 14.50 yr | c. | 26.16
yr | d. | 18.50 yr | e. | 17.50 yr |
|
|
|
19.
|
Solve for x:  . Round to 3 decimal places.
a. | –12.715 | b. | 9.574 | c. | 12.715 | d. | –4.787 | e. | 10.518 |
|
|
|
20.
|
Complete the table for the radioactive isotope. Round your answer to two decimal
places. Isotope | Half-life (years) | Initial Quantity | Amount after 1000 years | | 5715 | | ---- | | | | |
a. | Amount after 1000 years:  | b. | Amount after 1000
years:  | c. | Amount after 1000
years:  | d. | Amount after 1000
years:  | e. | Amount after 1000
years:  |
|