Multiple Choice Identify the
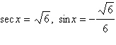
choice that best completes the statement or answers the question.
|
|
|
1.
|
Use the given values to evaluate (if possible)
three trigonometric functions cosx, cscx, tanx.

|
|
|
2.
|
Use the given values to evaluate (if possible)
three trigonometric functions sinx, cosx, cotx.

|
|
|
3.
|
Use the given values to evaluate (if possible)
three trigonometric functions cosx, sinx, cotx.

|
|
|
4.
|
Use the given values to evaluate (if possible)
three trigonometric functions cscx, tanx, cotx.
, 
|
|
|
5.
|
Use the trigonometric substitution ,
where and to simplify
the expression .
|
|
|
6.
|
Evaluate the following expression.

|
|
|
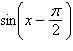
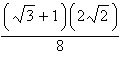
7.
|
Evaluate the following expression.

|
|
|
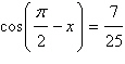
8.
|
Solve the following equation.

|
|
|
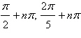
9.
|
Find all solutions of the following equation in the
interval .

|
|
|
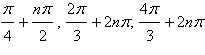
10.
|
Find all solutions of the following equation in the
interval .

|
|
|
11.
|
Solve the following equation.

|
|
|
12.
|
Find the expression as the tangent of an
angle.

|
|
|
13.
|
Simplify the expression algebraically.

|
|
|
14.
|
Find the exact value of the given expression using
a sum or difference formula.

|
|
|
15.
|
Simplify the given expression
algebraically.

|
|
|
16.
|
Use the figure to find the exact value of the
trigonometric function.



|
|
|
17.
|
Use the half-angle formulas to simplify the
expression.

|
|
|
18.
|
Evaluate the expression.

|
|
|
19.
|
Use a double angle formula to rewrite the given
expression.

|
|
|
20.
|
Use the half-angle formula to simplify the given
expression.

|