Multiple Choice Identify the
choice that best completes the statement or answers the question.
|
|
|
1.
|
By using a graphing utility to complete the
following table. Round your answer to two decimal places.
x | 0.2 | 0.4 | 0.6 | 0.8 | 1.0 | 1.2 | 1.4 | | --- | --- | --- | --- | --- | --- | --- | | --- | --- | --- | --- | --- | --- | --- | | | | | | | | |
|
|
|
2.
|
Use the trigonometric substitution to rewrite the
algebraic expression as a trigonometric function of , where .

|
|
|
3.
|
Rewrite the expression as a single logarithm and
simplify the result.

|
|
|
4.
|
Which of the following expressions is equivalent to
?
|
|
|
5.
|
Evaluate the following expression.

|
|
|
6.
|
Evaluate the following expression.

|
|
|
7.
|
Solve the following equation.

|
|
|
8.
|
Use a graphing utility to graph the
function.

|
|
|
9.
|
Use a graphing utility to graph the
function.

|
|
|
10.
|
Determine whether the statement is true or false.
Justify your answer.
The equation has four times the number of
solutions in the interval as the equation .
|
|
|
11.
|
Which of the following is a solution to the given
equation?

|
|
|
12.
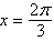
|
Find all solutions of the following equation in the
interval .

|
|
|
13.
|
Use the formula , where to rewrite the trigonometric expression in the following form.


|
|
|
14.
|
Find the exact value of the given
expression.

|
|
|
15.
|
Use the product-to-sum formulas to rewrite the
product as a sum or difference.

|
|
|
16.
|
Use the sum-to-product formulas to rewrite the sum
or difference as a product.

|
|
|
17.
|
Use the sum-to-product formulas to rewrite the sum
or difference as a product.

|
|
|
18.
|
When two railroad tracks merge, the overlapping
portions of the tracks are in the shapes of circular arcs (see figure). The radius of each arc
r (in feet) and the angle are related by

Write a formula for in terms of .

|
|
|
19.
|
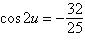
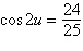
Use a double-angle formula to find the exact value
of when .
|
|
|
20.
|
The range of a projectile fired at an angle
q with the horizontal and with an initial velocity of feet per second is where r is measured in feet. A golfer
strikes a golf ball at 95 feet per second. Ignoring the effects of air resistance, at what angle must
the golfer hit the ball so that it travels 140 feet? (Round your answer to the nearest
degree.)
a. | 11° | b. | 30° | c. | 15° | d. | 22° | e. | 33° |
|