|
|
|
1.
|
Use the Law of Sines to
solve (if possible) the triangle. Round your answers to two decimal places.

|
|
|
2.
|
In the figure, and are positive angles.

 Write as a function of .
|
|
|
3.
|
A park ranger at point A observes a fire in
the direction . Another ranger at point B, 5 miles due
east of A, sites the same fire at . Determine the distance from point B to
the fire. Round answer to two decimal places.
a. | 2.18 miles | b. | 4.55 miles | c. | 2.51
miles | d. | 4.84 miles | e. | 4.20 miles |
|
|
|
4.
|
Use the law of Cosines to solve the given triangle.
Round your answer to two decimal places.


|
|
|
5.
|
Use the law of Cosines to solve the given triangle.
Round your answer to two decimal places.
, b =

|
|
|
6.
|
Determine the angle in the design
of the streetlight shown in the following figure.
 
|
|
|
7.
|
Given , , and , use the Law of Cosines to solve the triangle for the value of C. Round your
answer to two decimal places.

|
|
|
8.
|
Given , , and , use the Law of Cosines to solve the triangle for the value of c. Round your
answer to two decimal places.
a. | 16.29 | b. | 11.26 | c. | 15.57 | d. | 17.00 | e. | 14.13 |
|
|
|
9.
|
A vertical pole 29 feet tall stands on a hillside
that makes an angle of with the horizontal. Determine the approximate
length of cable that would be needed to reach from the top of the pole to a point 78 feet downhill
from the base of the pole. Round your answer to two decimal places.
a. | 82.88 feet | b. | 75.35 feet | c. | 99.45
feet | d. | 88.40 feet | e. | feet |
|
|
|
10.
|
Select a linear combination of the standard unit
vectors i and j of given initial and terminal points of a vector.
Initial Point | Terminal Point | | | | |
|
|
|
11.
|
|
|
|
12.
|
Find a unit vector in the direction of .
|
|
|
13.
|
|
|
|
14.
|
Given vectors and determine the quantity indicated below.

|
|
|
15.
|
A 725-pound trailer is sitting on an exit ramp
inclined at 36° on Highway 35. How much force is required to keep the trailer from rolling back
down the exit ramp? Round your answer to two decimal places.
a. | 566.49 pounds | b. | 546.44 pounds | c. | 586.54
pounds | d. | 506.34 pounds | e. | 426.14 pounds |
|
|
|
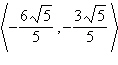
16.
|
Plot the complex number
and find its absolute value.

|
|
|
17.
|
Find the standard form
of the complex number. Then represent the complex number graphically.

|
|
|
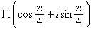
18.
|
Find the trigonometric form of the complex number
shown below.

|
|
|
19.
|
Find the product using
trigonometric forms. Leave the result in trigonometric form.
|
|
|
20.
|
Find the fifth roots of Write the
roots in trigonometric form.
|