|
|
|
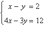
1.
|
Solve the system by the method of
substitution.

|
|
|
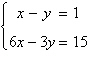
2.
|
Solve the system graphically.

|
|
|
3.
|
Solve the system by the method of elimination and
check any solutions algebraically.

|
|
|
4.
|
Solve the system by the method of
elimination.

a. |  | b. | (dependent) | c. |  | d. | inconsistent | e. |  |
|
|
|
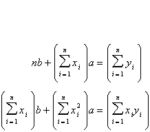
5.
|
Find the least squares regression line for the points
 by solving the system for a and
b.
 Points: 
a. | y = 3.93x
–4.21 | b. | y =
2.80x –3.20 | c. | y =
–2.66x +2.80 | d. | y =
–3.47x –4.21 | e. | y =
–3.20x +2.80 |
|
|
|
6.
|
Use back-substitution to solve the system of linear
equations.

|
|
|
7.
|
Find the equation of the circle
that passes through the points.

|
|
|
8.
|
Find values of x, y, and that satisfy the system. These systems arise in certain optimization problems in
calculus, and is called a Lagrange multiplier.

|
|
|
9.
|
A chemist needs 10 liters of a 25% acid solution.
The solution is to be mixed from three solutions whose concentrations are 10%, 20%, and 50%. How
many liters of each solution will satisfy each condition? Use 2 liters of the 50%
solution.
a. | 2 L of 10%, 7 L of 20%, 1 L of 50%
| b. | 7 L of 10%, 7 L of 20%, 2 L of 50%
| c. | 7 L of 10%, 1 L of 20%, 2 L of 50%
| d. | 1 L of 10%, 2 L of 20%, 7 L of
50% | e. | 1 L of 10%, 7 L of 20%, 2 L of 50%
|
|
|
|
10.
|
Write the form of the partial fraction
decomposition of the rational expression. Do not solve for the constants.

|
|
|
11.
|
Write the partial fraction decomposition of the
rational expression. Check your result algebraically.

|
|
|
12.
|
Write the partial fraction decomposition of the
rational expression. Check your result algebraically.

|
|
|
13.
|
Write the partial fraction decomposition of the
rational expression.

|
|
|
14.
|
Select the correct graph of the
inequality.

|
|
|
15.
|
Find the consumer surplus and producer
surplus.
Demand 
Supply 
|
|
|
16.
|
Find the minimum value of the objective function
and where they occur, subject to the indicated constraints.
Objective function:

Constraints:


a. | Minimum at  | b. | Minimum at  | c. | Minimum at  | d. | Minimum at  | e. | Minimum at  |
|
|
|
17.
|
Select the region determined by the constraints.
Then find the minimum value of the objective function (if possible) and where they occur, subject to
the indicated constraints.
Objective function:

Constraints:

|
|
|
18.
|
Find the maximum value of the objective function
and where they occur, subject to the constraints:
Objective function:

Constraints:

a. | Maximum at 80 | b. | Maximum at   | c. | No maximum | d. | Maximum at   | e. | Maximum at  |
|
|
|
19.
|
The linear programming problem has an unusual
characteristic. Select a graph of the solution region for the problem and describe the unusual
characteristic. Find the maximum value of the objective function (if possible) and where they
occur.
Objective function:

Constraints:

|
|
|
20.
|
An accounting firm has 780 hours of staff time and
272 hours of reviewing time available each week. The firm charges for an audit
and for a tax return. Each audit requires 60
hours of staff time and 16 hours of review time. Each tax return requires 10 hours of staff time and
4 hours of review time. What numbers of audits and tax returns will yield an optimal revenue? What is
the optimal revenue?
a. | 0 audit 16 tax returns Optimal revenue:  | b. | 13 audits 0 tax
return Optimal revenue:  | c. | 16 audits 0 tax return Optimal revenue:  | d. | 0 audit 13 tax
returns Optimal revenue:  | e. | 10 audits 10 tax returns Optimal revenue:  |
|